REGRESIÓN CUANTÍLICA EN EL ANÁLISIS PARA LA DISTRIBUCIÓN DEL INGRESO
Lesky Ibeth Rivas Martínez*1, Cristian Andrés Cruz Torres2
1Instituto Mixto Hibueras*, Comayagüela, Honduras
2Universidad Nacional Autónoma de Honduras, Tegucigalpa, Honduras.
Autor correspondiente: rivaslesky@gmail.com
INTRODUCCIÓN
La regresión cuantílica es una técnica estadística que modela la relación entre variables para diferentes cuantiles de la distribución condicional de la variable dependiente, no solo la media. A diferencia de la regresión lineal tradicional, que estima la media condicional, la regresión cuantil estima parámetros para cuantiles específicos como 0.25 o 0.75. Esto proporciona una visión más detallada de cómo cambia la relación entre variables en diferentes puntos de la distribución, lo que es útil en presencia de valores atípicos o distribuciones sesgadas. La técnica minimiza una función de pérdida ponderada basada en el cuantil deseado, ofreciendo así una mejor robustez.
El objetivo de este estudio es determinar mediante el análisis de la regresión cuantílica si el sexo, edad y nivel educativo tienen una relación importante con el ingreso total mensual.
METODOLOGÍA
En la metodología clásica de mínimos cuadrados ordinarios (MCO), la función de media condicional es fundamental. Y requiere que se cumplan ciertos supuestos: linealidad, normalidad y homocedasticidad. Estos supuestos proporcionan las bases para interpretar los resultados y las conclusiones del modelo. En muchas ocasiones los supuestos del método MCO no se cumplen. Es aquí donde entra la regresión cuantil, que plantea la relación entre la variable de respuesta y las variables independientes en cualquier cuantil de la función de distribución condicional. De esta manera, la regresión cuantil puede brindar información completa sobre la relación entre la variable de respuesta ) y las covariables () en toda la distribución condicional, y no hace ningún supuesto distributivo sobre el término de error en el modelo (1).
Así como la regresión por MCO se encuentra vinculada con la media, la regresión cuantílica, como su propio nombre lo indica, se basa en el concepto de cuantil. El modelo clásico de regresión cuantil fue introducido en (2) por Koenker y Bassett como una extensión de la noción de cuantiles ordinarios (también llamados “percentiles”) en un modelo de localización, a una clase más general de modelos lineales en los que los cuantiles condicionales tienen una forma lineal (3).
Modelo de regresión cuantílica
Una forma de expresar la definición de los cuantiles que es además una primera aproximación al método de estimación de la regresión cuantílica, viene dada por la siguiente expresión:
[1]
Según Koenker y Bassett (2) el modelo de regresión cuantílica se expresa por una ecuación similar al modelo de regresión lineal dado por:
[2]
Donde es la variable endógena o dependiente, son las variables exógenas o explicativas, son los parámetros fijos y desconocidos, es el error de estimación. Se puede expresar como:
[3]
Donde es el parámetro a estimar correspondiente al cuantil , es la perturbación aleatoria correspondiente al cuantil y indica el nivel al que se está estableciendo en la relación.
Si se considera que de [1] es una simplificación del producto cuando entonces se tiene que en la regresión cuantil, el problema de estimación de parámetros es de la forma (4):
[4]
Esto indica que a cada desviación correspondiente a la observación se le da más o menos un peso, según el cuantil cuya recta de regresión se esté estimando.
Para esta investigación, se utilizó un modelo de regresión cuantílica para explorar la relación entre sexo, edad y nivel educativo en diferentes puntos de la distribución del ingreso mensual total. Utilizando la base de datos de la encuesta permanente de hogares del Instituto Nacional de Estadística de Honduras (INE).
RESULTADOS
La regresión cuantílica permite ajustar modelos de regresión a cualquier cuantil. El objetivo de este estudio es determinar si el sexo, edad y nivel educativo tienen una relación importante con el ingreso total mensual mediante el análisis de la regresión cuantílica.
La base de datos con la que se trabajó en este estudio proviene de la Encuesta Permanente de Hogares de Propósitos Múltiples (EPHPM) de junio 2023 del Instituto Nacional de Estadística Honduras (5). De dicha base de datos se seleccionó solo la población económicamente activa ocupada para la aplicación del modelo de la regresión cuantílica, en la Tabla 1 se presenta la descripción de las variables.
Variable | Descripción |
Logaritmo del total de ingresos mensual | |
Población en edad de trabajar, personas mayores de 15 años | |
Sexo: 0 = mujer, 1 = hombre | |
Nivel educativo: 1= sin nivel, 2= primaria, 3= secundaria, 4= superior |
Tabla 1 Descripción de las variables
Fuente: Elaboración propia con datos del Instituto Nacional de Estadística Honduras (5)
Modelo: se planteó un modelo de regresión cuantílica para evaluar el efecto de los factores que influyen en la distribución del ingreso total mensual de la población ocupada en Honduras.
[5]
Donde es el ingreso total mensual, para son las covariables o variables independientes y finalmente representa el error. Para establecer la correcta transformación del ingreso total mensual se usó la función logaritmo, que permitió una mejor interpretación en el análisis de los datos.

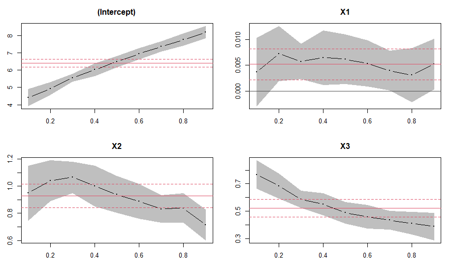
Figura 1. Coeficientes de regresiones por cuantiles.
En la Figura 1, el intercepto es la constante de regresión y se puede observar que el ingreso mensual aumenta en los cuantiles superiores de la distribución. Esto sugiere que el nivel base de ingreso mensual es mayor en dichos cuantiles. También se observa, que el impacto de la edad sobre el ingreso mensual se vuelve significativo a partir del cuantil 0.3, siendo más relevante en ingresos altos. El sexo influye positivamente en todos los cuantiles, Lo que indica que, en promedio, los hombres tienen un ingreso mensual más alto que las mujeres, especialmente en ingresos bajos. El nivel educativo es significativo en todos los cuantiles, con un efecto más pronunciado en ingresos bajos.
CONCLUSIÓN
A diferencia de la regresión lineal por mínimos cuadrados ordinarios, que se enfoca en la media, la regresión cuantílica permite examinar cómo las variables independientes: edad, sexo y nivel educativo, afectan diferentes puntos de la distribución del ingreso. Esta técnica proporciona una comprensión más detallada al revelar cómo el impacto de estas variables varía según el percentil del ingreso, mostrando un efecto potencialmente más significativo en los percentiles altos. Mientras que la edad y el nivel educativo muestran efectos más pronunciados en los niveles de ingreso más bajos, el efecto del sexo es consistente, pero se reduce en los niveles más altos de ingreso.
REFERENCIAS
x
1. | John O, Nduka E. Quantile Regression Analysis As A Robust Alternative To Ordinary Least Squares. Scientia Africana. 2009; 8(2): p. 61-65. |
2. | Koenker R, Jr GB. Regression quantiles. Econometrica: Journal of the Econometric Society. 1978; 46(1): p. 33-50. |
3. | Buhai S. Quantile regression: overview and selected applications. Ad Astra. 2005; 4(4): p. 1-17. |
4. | Otero JV, Reyes BS. Regresión Cuantílica: estimación y contrastes. Instituto LR Klein-Centro Gauss. 2012. |
5. | Instituto Nacional de Estadística Honduras. [Online]. Disponible en: https://ine.gob.hn/v4/. |
x
Cómo citar este trabajo (Vancouver):
Rivas Martínez LI, Cruz Torres CA. REGRESIÓN CUANTÍLICA EN EL ANÁLISIS PARA LA DISTRIBUCIÓN DEL INGRESO [resumen]. En: Vispo NS, editor. Memorias del Congreso de Investigación y Posgrado UNAH 2024: Libro de resúmenes. Madrid/Tegucigalpa: Clinical Biotec S.L.; Universidad Nacional Autónoma de Honduras; 2024. doi: 10.70099/cb/unah/2024.mem
ISBN del libro: 978-84-09-76685-7