GAS CINÉTICO ROTANTE ALREDEDOR DE UN ESPACIO TIEMPO ESFÉRICAMENTE SIMÉTRICO
Roger Javier Raudales1,2, Carlos Eduardo Gabarrete1
1Departamento de Gravitación, Altas Energías y Radiaciones, Escuela de Física, Facultad de Ciencias, Universidad Nacional Autónoma de Honduras, Edificio E1, Ciudad Universitaria, Tegucigalpa, Francisco Morazán, Honduras.
2Departamento de Ciencias Naturales, Facultad de Ciencias Básicas, Universidad Pedagógica Nacional Francisco Morazán, Tegucigalpa, Honduras.
Autor correspondiente: carlos.gabarrete@unah.edu.hn
INTRODUCCIÓN
En tiempos recientes, varios problemas en campos de estudio como la astrofísica relativista, la cosmología y la relatividad matemática y numérica han evidenciado que la descripción tradicional de la materia a través de modelos asociados a fluidos no produce resultados consistentes en muchos escenarios. Estos problemas requieren una descripción más fundamental basada en modelos que describan un gas cinético relativista. Por ejemplo, para estudiar las propiedades dinámicas de un gas diluido cerca de un agujero negro, resulta conveniente utilizar la teoría cinética cuando el camino libre medio entre las partículas es mucho menor que el tamaño del agujero negro. Esto se debe a que, en estas condiciones, los efectos colectivos descritos por la teoría de fluidos no capturan adecuadamente la dinámica de las partículas individuales.
El escenario antes descrito es particularmente relevante en las proximidades de agujeros negros supermasivos como Sgr A* y M87*, donde el gas del medio interestelar puede formar discos de acreción, como lo muestran las observaciones de las sombras realizadas a dichos agujeros negros por el Event Horizon Telescope Collaboration [2]. En estas condiciones, la teoría cinética relativista proporciona una comprensión más detallada de los procesos de acreción y la dinámica del gas. Además, la teoría cinética relativista puede ser de relevancia en el estudio de la interacción entre la materia oscura y los agujeros negros supermasivos en el centro de las galaxias [4]. En la cosmología hay estudios que muestran que la ecuación de Boltzmann es bastante útil para entender la dinámica del universo antes o durante la época de recombinación [5–6].
El principal objetivo de este proyecto de investigación es estudiar un modelo concreto que describa las configuraciones de un gas cinético sin colisiones que está atrapado en el potencial gravitacional de un agujero negro no rotante derivado de los resultados obtenidos en [7] para ampliar el trabajo sobre la descripción de los observables del espacio-tiempo utilizando los modelos parametrizados por el ángulo de inclinación de las órbitas de las partículas [1] y la generalización relativista del ansatz politrópico [10].
METODOLOGÍA
Para el desarrollo de las observables del espacio-tiempo de un gas cinético relativista basamos el perfil de la función de distribución de una partícula en cantidades conservadas gracias al mixing del espacio fase sobre el agujero negro no rotante [7].
Se utilizan variables ángulo-acción para realizar una representación explícita de la función de área para un gas cinético alrededor de un agujero negro de Schwarzschild, con ello se pueden reducir las expresiones de las observables del espacio tiempo hasta una integral simple con los límites de integración adecuados. Además, se performan otras observables macroscópicas de interés como la masa, energía y momento angular total del gas para comparar dichas configuraciones. Todo esto basados en modelos de función de distribución axisimétricas y estacionarias escritas en cantidades conservadas del espacio tiempo esféricamente simétrico [10].
RESULTADOS
Los resultados en la construcción de las configuraciones del gas cinético sin colisiones alrededor de este espacio-tiempo son las siguientes observables: densidad de corriente de partículas y las componentes del tensor de energía-momento-esfuerzo las cuales fueron calculadas de forma analítica. A su vez estas observables nos permiten establecer observables macroscópicas de interés como la densidad de partículas, densidad de energía, las presiones principales entre otras. Además, se obtuvieron expresiones en términos de una doble integral sobre el espacio de parámetros de excentricidad de las órbitas y el semi-latus rectum para número total de partículas, la energía total del gas y el momento angular total, donde esta última es útil para establecer configuraciones del gas rotante (con momento angular total) o sin rotación (momento angular total nulo) [3,9]. Un resultado importante es que las configuraciones del gas encontradas para los distintos parámetros pueden ser configuraciones globalmente extendidas o de extensión finita. Se establecen de forma gráfica los perfiles en el plano ecuatorial y gráficas de contorno de las observables antes mencionadas para las distintas configuraciones del gas.

Figura 1. Densidad de partículas para un gas rotante por unidad de partículas para s=2, k=6. En este gráfico de contorno se muestra densidad del gas acotado con un corte de la energía alrededor del agujero negro (representado en la región negra).

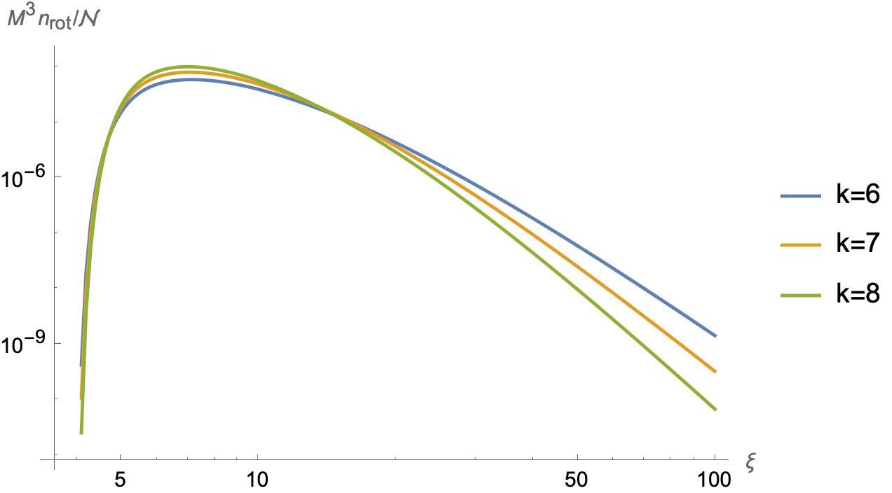
Figura 2. Gráfica de perfil en el plano ecuatorial de la densidad de partículas para un gas rotante por unidad de partículas para s=1, k=6,7,8. Este gráfico muestra las distintas configuraciones para un gas globalmente extendido.
CONCLUSIÓN
Se lograron establecer configuraciones axisimétricas y estacionarias de un gas cinético relativista sin colisiones y acotado alrededor de un espacio tiempo esféricamente simétrico. Dichas configuraciones tipo toro son relevantes como soluciones iniciales en la evolución de configuraciones de gas dinámicas en el tiempo. Las configuraciones encontradas son configuraciones globalmente extendidas o de extensión finita, lo que permite establecer como punto de partida estas configuraciones para modelar los discos de acreción sobre agujeros negros no rotantes.
REFERENCIAS
- Odrzywolek AC. Accretion of the relativistic Vlasov gas in the equatorial plane of the Kerr black hole. Phys Rev D. 2022; 106:104056.
- Event Horizon Telescope Collaboration. Event Horizon Telescope Collaboration [Internet]. 2024 Aug 15 [cited 2025 Apr 11]. Available from: http://www.eventhorizontelescope.org
- Gamboa A, Gómez-Flechoso C. Accretion of a Vlasov gas onto a black hole from a sphere of finite radius and the role of angular momentum. Phys Rev D. 2021;083001.
- Zhao Y, Liu A. Influence of dark matter equation of state on the axial gravitational ringing of supermassive black holes. Phys Rev D. 2024;044031.
- Medeiros G, Paiva-de-Sousa D. Theoretical foundations of the reduced relativistic gas in the cosmological perturbed context. J Cosmol Astropart Phys. 2019;043.
- Pettinari GW. The Intrinsic Bispectrum of the Cosmic Microwave Background. Cham: Springer International Publishing; 2016.
- Rioseco P, Sarbach O. Phase space mixing in the equatorial plane of a Kerr black hole. Phys Rev D. 2018;124024.
- Binney J, Tremaine S. Galactic Dynamics. 2nd ed. Princeton, NJ: Princeton University Press; 2008.
- Ames E, Andréasson H, Logg A. Cosmic string and black hole limits of toroidal Vlasov bodies in general relativity. Phys Rev D. 2019;024012.
- Gabarrete C, Sarbach O. Kinetic gas disks surrounding Schwarzschild black holes. Acta Phys Pol B Proc Suppl. 2022;1: A10.
Cómo citar este trabajo (Vancouver):
Raudales RJ, Gabarrete CE. GAS CINÉTICO ROTANTE ALREDEDOR DE UN ESPACIO TIEMPO ESFÉRICAMENTE SIMÉTRICO [resumen]. En: Vispo NS, editor. Memorias del Congreso de Investigación y Posgrado UNAH 2024: Libro de resúmenes. Madrid/Tegucigalpa: Clinical Biotec S.L.; Universidad Nacional Autónoma de Honduras; 2024. doi: 10.70099/cb/unah/2024.mem
ISBN del libro: 978-84-09-76685-7