PERCEPCIÓN Y POSICIONAMIENTO DEL COMISIONADO UNIVERSITARIO EN LA UNIVERSIDAD NACIONAL AUTÓNOMA DE HONDURAS CAMPUS CIUDAD UNIVERSITARIA
Erick Omar Gómez Andrade1; Angel Emanuel Sánchez Mendoza2
1Universidad Nacional Autónoma de Hondura, Tegucigalpa, Honduras erick.gomez@unah.edu.hn
2Universidad Nacional Autónoma de Hondura, Tegucigalpa, Hondura a.mendoza@gmail.com
RESUMEN
Evaluar el posicionamiento del Comisionado Universitario en la comunidad de la Universidad Nacional Autónoma de Honduras (UNAH) campus ciudad universitaria es el objetivo principal de esta investigación. Se analiza la percepción de este rol teniendo como grupos objetivo a investigar a estudiantes, autoridades, docentes, personal administrativo y de servicios, con la finalidad de identificar los factores que influyen en su reconocimiento y efectividad. Se utiliza una metodología mixta, combinando enfoques cuantitativos y cualitativos, permitirá obtener una visión integral. La recolección de datos cuantitativos se realizó mediante el instrumento de encuestas, mediante un muestro aleatorio simple estratificado, con un nivel de confianza del 95% y un margen de error del 5%. La obtención de información cualitativa se realizó a través de entrevistas y grupos focales. El análisis de los datos se realizó usando estadísticas descriptivas y técnicas de análisis como cruce de variables para identificar patrones y tendencias frecuentes. La interpretación de los resultados ofrece una comprensión detallada de la influencia del Comisionado Universitario en la UNAH. La formulación de recomendaciones basadas en los hallazgos contribuirá a mejorar su posicionamiento y efectividad en la comunidad universitaria proporcionando directrices para fortalecer la gestión del Comisionado en la UNAH.
Palabras Clave: percepcion, posicionamiento, gestion, analisis, investigacion, UNAH ABSTRACT
Evaluating the positioning of the University Commissioner within the community of the Universidad Nacional Autónoma de Honduras (UNAH) Ciudad Universitaria campus is the primary objective of this research. The study analyzes the perception of this role with targeted groups including students, authorities, faculty, administrative staff, and service personnel, aiming to identify the factors that influence its recognition and effectiveness. A mixed methodology, combining quantitative and qualitative approaches, will provide a comprehensive view. Quantitative data collection was conducted using surveys with a stratified random sampling method, a 95% confidence level, and a 5% margin of error. Qualitative information was gathered through interviews and focus groups. Data analysis involved descriptive statistics and techniques such as cross-variable analysis to identify patterns and frequent trends. The interpretation of the results offers a detailed understanding of the University Commissioner’s influence at UNAH. Recommendations based on the findings will contribute to improving the Commissioner’s positioning and effectiveness within the university community, providing guidelines to strengthen the Commissioner’s management at UNAH.
Keywords: perception, positioning, management, analysis, research, UNAH
INTRODUCCIÓN
Incluye el planteamiento del problema, antecedentes, marco teórico, justificación y objetivos de la investigación.
- INTRODUCCIÓN
El rol del Comisionado Universitario en la Universidad Nacional Autónoma de Honduras (UNAH) Ciudad Universitaria es crucial para la gestión y el desarrollo de la comunidad académica. Sin embargo, existe una falta de claridad sobre cómo es percibido este rol por los diferentes grupos dentro de la universidad, tales como estudiantes, autoridades, docentes, personal administrativo y de servicios. Esta ambigüedad en la percepción puede influir en la efectividad del Comisionado y en su capacidad para cumplir con sus responsabilidades de manera eficiente.
- PLANTEAMIENTO DEL PROBLEMA
En la actualidad, no se cuenta con un análisis exhaustivo que evalúe el posicionamiento del Comisionado Universitario en relación con la comunidad universitaria de la UNAH. La falta de información precisa y
detallada sobre cómo se perciben sus funciones y la influencia que ejerce en la comunidad limita la capacidad de la administración universitaria para tomar decisiones informadas y mejorar la gestión del Comisionado.
Este estudio busca identificar y analizar los factores que afectan la percepción y el reconocimiento del Comisionado Universitario, así como evaluar su impacto en la comunidad académica. Comprender estas percepciones es fundamental para mejorar la comunicación, la transparencia y la eficacia en el rol del Comisionado, contribuyendo así al fortalecimiento de la gestión universitaria y al desarrollo integral de la UNAH.
Desde su fundación el Comisionado Universitario es órgano que se encarga de velar y hacer cumplir los derechos de los estudiantes, docentes y trabajadores, pero uno de los mayores problemas es que muchos no conocen acerca de esta institución y no saben cómo acudir a este lugar para dar a conocer sus quejas e inquietudes como problemas relacionados con la matricula o un trato irrespetuoso o degradante por parte de una autoridad universitaria.
- PREGUNTAS CLAVE DE LA INVESTIGACIÓN
- ¿Cuál es el conocimiento que tiene la comunidad universitaria sobre lo que es el comisionado universitario y los servicios que brinda?
- ¿Qué nivel de conocimiento tiene la comunidad acerca de la ubicación física del Comisionado Universitario?
- ¿Qué conocimientos tiene la comunidad de la UNAH acerca de las campañas desarrolladas por el Comisionado Universitario?
- ¿Quiénes han acudido al apoyo del Comisionado Universitario y así mismo como califican sus servicios?
- ¿Qué grado de interés demuestra la comunidad universitaria acerca de comprender el fin de la organización?
Determinar el conocimiento que tiene la comunidad universitaria sobre los servicios y apoyo que brinda el Comisionado Universitario de la Universidad Nacional Autónoma de Honduras.
- Examinar el conocimiento que tiene la comunidad universitaria sobre lo que es esta organización y los servicios que brinda.
- Analizar el nivel de conocimiento que tiene la comunidad en relación a la ubicación del Comisionado Universitario en CU.
- Indagar sobre el conocimiento que tiene la comunidad universitaria de la UNAH sobre las campañas desarrolladas por el Comisionado Universitario
- Conocer cuántas personas de la comunidad de la UNAH han acudido al apoyo del Comisionado Universitario y como califican sus servicios.
- Examinar el grado de interés que demuestra la comunidad universitaria acerca de comprender la finalidad de esta organización.
- MARCO TEÓRICO
Es un conjunto de personas elegidas para realizar una determinada labor en representación de un colectivo. (Oxford Languages)
Comisionado universitario de la UNAH
El comisionado universitario es el órgano unipersonal de la Universidad Nacional Autónoma de Honduras (UNAH). Establecido para velar el respeto a los derechos y libertades del estudiante, docentes, y personal administrativo y de servicio ante las actuaciones de los diferentes órganos universitarios, construyendo a la eficacia del derecho de petición y a la construcción de la ciudanía universitaria. (informe de comisionado universitario, 2019)
Según el artículo 55 de la Ley Orgánica de la UNAH el Comisionado Universitario tiene las atribuciones siguientes:
- Vigilar, que las autoridades universitarias cumplan con la Constitución, con esta Ley, las demás leyes, los estatutos y los reglamentos vigentes;
- Proponer a la Rectoría el nombramiento del personal que estará a su cargo;
- Constituirse en cualquier sitio de los campus de la UNAH para verificar la comisión de violaciones a los derechos y asegurarse de que se sancione a los responsables; d) Tramitar las denuncias con responsabilidad y diligencia, decidiendo oportunamente sobre su presentación ante la autoridad competente;
- Solicitar la información necesaria de cualquier oficina universitaria para el trámite de las denuncias que se le presenten, debiendo la oficina requerida proveerla dentro de un plazo que no podrá exceder, en ningún caso, de diez (10) días hábiles;
- Asistir como observador a las sesiones del Consejo Universitario y de cualquier otro órgano colegiado de la UNAH;
- Proponer su Plan Operativo y su Presupuesto Anual a la Rectoría; y, Publicar trimestralmente el Boletín del Comisionado, en el cual informará a la Comunidad Universitaria sobre la ejecución de su presupuesto y sobre sus actuaciones.
(Comisionado Universitario de la UNAH, 2020)
METODOLOGÍA
Para el desarrollo del presente documento se determinó utilizar el diseño de investigación descriptiva, con el fin de analizar el fenómeno en el contexto actual.
El alcance de la investigación es de tipo descriptivo.
El principal objetivo de la investigación descriptiva consiste en hacer una descripción de algo, generalmente de características o funciones del mercado (Malhotra, 2008)
Se utiliza este alcance porque se pretende dar a conocer a toda la comunidad que existe un comisionado universitario que vela por sus derechos y se requiere de un conocimiento previo del problema de investigación con el fin de producir las preguntas más específicas y precisas caracterizando adecuadamente el problema.
La presente investigación pretende estudiar el grado de conocimiento que los estudiantes, docentes y trabajadores de la Universidad Nacional Autónoma de Honduras poseen sobre el Comisionado Universitario, a través de un instrumento de recolección de información que será aplicado de forma digital haciendo uso de una herramienta especializada para ello y que permitirá obtener datos precisos y relevantes.
Al contar con un tiempo establecido para finalizar la investigación, se optó por la opción más viable, hacer uso de un método estadístico cuantitativo, el cual nos permitirá realizar la recolección de datos y estudio, de una población en específico. Se pretende examinar y medir el nivel de conocimiento sobre el Comisionado Universitario por parte de la comunidad de la Universidad Nacional Autónoma de Honduras.
Estudiantes, docentes y trabajadores de la Universidad Nacional Autónoma de Honduras en Ciudad Universitaria.
Se determinó utilizar el tipo de muestra probabilística, debido a que se seleccionó como población a toda la comunidad en Ciudad Universitaria, por lo tanto, todos tienen la misma posibilidad de ser elegidos.
La técnica de muestreo escogido es de tipo aleatorio simple, debido a que cada uno de los elementos de la población tiene la misma probabilidad de ser escogidos para formar parte de la muestra.
La población de estudiantes en Ciudad Universitaria fue obtenida a través del sistema estadístico de la Universidad Nacional Autónoma de Honduras en su último informe de matrículas del segundo periodo académico del año 2022 el cual arrojo un dato de 41,492 estudiantes matriculados en Ciudad Universitaria para este periodo.
El dato del personal en UNAH es del 2019, donde se detallan los docentes, personal de servicio y administrativo. La suma de estos da como resultado 5,256 personas
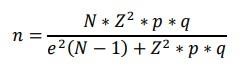
Tabla 4 Calculo de la muestra
n | Tamaño de la muestra | ¿? |
N | Población estudiada | 46,748 |
e | Error de estimación máximo aceptado | 5% |
Z² | Nivel de confianza | 95%= 1.96 |
p | Probabilidad con la que el fenómeno se presenta | 50% |
q | 1-p | 50% |

n= 46,748 * 1.96² * 0.5 * 0.5
0.05² * (46,748-1) + 1.96 * 0.5*0.5
n= 384
Se definió utilizar el cuestionario web denominado “Conocimiento del Comisionado Universitario por parte de los integrantes de la comunidad de UNAH CU “en la herramienta Quiltrics, el cual está
conformado por 15 preguntas cerradas orientadas a conocer el grado de conocimiento que poseen los alumnos, docentes y personal de la UNAH.
- APLICACIÓN DE INSTRUMENTO DE INVESTIGACIÓN
El instrumento de investigación fue aplicado a 386 personas, entre ellos estudiantes, docentes y trabajadores.
Habiendo aplicado el instrumento de investigación, se obtuvieron 386 respuestas y al estudiarlas mediante análisis estadísticos se tiene las siguientes interpretaciones:
¿Conoce usted acerca del Comisionado Universitario de la UNAH?
Figura 5 Grafico de pregunta 1
Interpretación
Con los datos ilustrados anteriormente se observa que un 63.47% de la comunidad universitaria de la UNAH desconocen sobre el comisionado universitario, solo un 36.53% del total de encuestados conocen sobre el comisionado.
Por lo que se deduce que la mayor parte de los integrantes de la comunidad universitaria no tiene los conocimientos acerca de esta importante organización.
- ¿Qué percepción tiene acerca del Comisionado Universitario?

Figura 6 Grafico de pregunta 2
Interpretación
En esta muestra, los datos recabados muestran que la mayor parte de los encuestados, en este caso un 39.64% no tienen ninguna idea percepción acerca del comisionado universitario, un 20.98% cree que brindan asesorías y atienden denuncias, un 17.31% perciben al comisionado como encargados de solucionar conflictos, el 12.95% opinan que el comisionado universitario es dirigido por los estudiantes y una menor cantidad, es decir el 9.07% lo perciben como creador e implementador de normativas dentro de la universidad.

Figura 7 Grafico de pregunta 3
Interpretación
En esta pregunta del instrumento se observa que la mayor parte de los integrantes de la comunidad universitaria, exactamente un 58.78% no han necesitado algún servicio, asesoría o apoyo por parte del comisionado universitario.
El 41.22% del total de la muestra necesito en algún momento un servicio por parte del comisionado universitario, siendo la atención de quejas por mal atención dentro del campus el servicio más necesitado con un 7.43%.
El servicio menos solicitado por parte de los encuestados es la atención a problemas durante la práctica profesional con un 1.80%. Es importante mencionar que un 3.83% de las personas han necesitado el servicio de tramitación de denuncias por acoso sexual.
¿Está interesado en conocer acerca del Comisionado Universitario?
Figura 8 Grafico de pregunta 4
Interpretación
El 83.61% de la población que no conoce el comisionado universitario, está interesada en conocerlo, caso contrario el 16.39% de las personas que no conocen el comisionado universitario, no tienen interés en conocerlo en el futuro.
- ¿Por qué medios le gustaría recibir información acerca del Comisionado Universitario?

Figura 9 Grafico de pregunta 5
Interpretación
La gran mayoría de la población Universitaria que no conoce el comisionado universitario está interesada en recibir información de él, a través de medios digitales con un 61.09% de los encuestados, el 15.06% prefieren conocerlo a través de charlas y foros, un 8.37% desea conocer el comisionado por los medios físicos y un 15.48% de esta población definitivamente no tienen interés en conocer el comisionado.
¿Cómo conoció acerca del Comisionado Universitario?
Figura 10 Grafico de pregunta 6
Interpretación
Los datos recabados indican que la mayor parte de las personas que saben acerca del comisionado universitario, lo conocieron por un estudiante, docente o trabajador de la UNAH, con un 50.35% respectivamente, un 20.57% de las personas lo conoció a través de los medios digitales, por su parte también un 13.48% de las personas conocieron el Comisionado por anuncios y afiches en la ciudad universitaria.
Un 9.93% brindo respuestas específicas acerca de cómo conocieron el comisionado universitario, una gran parte de estas personas mencionan que conocieron el comisionado por el curso de inducción a la vida universitaria y por capacitaciones.
Por último, solo un 5.67% lo conocieron por una campaña desarrollada por el comisionado universitario.
¿Conoce la ubicación física del Comisionado Universitario en las instalaciones de CU?
Figura 11 Grafico de pregunta 7
Interpretación
Partiendo del número total de respuestas, se puede observar que el mayor porcentaje de personas, específicamente un 55% no conocen las instalaciones físicas del comisionado universitario en CU, el otro 45% si lo conocen. Se observa que no hay gran diferencia entre estas opciones.
¿Ha acudido usted alguna vez al apoyo del Comisionado Universitario?
Figura 12 Grafico de pregunta 8
Interpretación
La mayor parte de las personas que conocen el comisionado universitario, es decir un 78% no han acudido a su apoyo, en cambio un 22% si acudió alguna vez por alguno de los servicios que este brinda.
- ¿Por qué razón acudió?

Figura 13 Grafico de pregunta 9
Interpretación
Se observa que las personas han utilizado la mayoría de servicios que brinda el comisionado universitario, aun así, se logra apreciar mayores porcentajes en los servicios de atención a problemas relacionados con la matrícula, asesoría legal, Problemas con evaluaciones de examen, solicitud de normas universitarias y denuncias por acoso sexual con un 11.36% para cada servicio.
¿Cómo calificaría el servicio brindado por el Comisionado Universitario?
Figura 14 Grafico de pregunta 10
Interpretación
El 53.13% de la población que acudió al comisionado universitario calificaron su servicio como
“Eficiente”, un 25% opina que su servicio fue muy eficiente y de gran ayuda, a un 12.50% les pareció un servicio poco eficiente y regular, el ultimo porcentaje de 9.38% les pareció un servicio ineficiente que no obtuvo ninguna resolución.
- ¿Usted conoce alguna de estas campañas desarrollada por el Comisionado Universitario? (Puede realizar múltiples selecciones)

Figura 15 Grafico de pregunta 11
Interpretación
Según los datos del total de encuestados, la campaña que más conoce nuestra población es la
denominada “Campaña contra el acoso sexual” con un 17.29%, seguidamente las personas reconocen la Campaña de medidas de seguridad dentro del campus y la campaña de derechos humanos, con porcentajes de 10.21% y 9.58% respectivamente.
El 40.63% menciona no conocer ninguna de las campañas propuestas en el instrumento.
Figura 16 Grafico de pregunta 12
El mayor porcentaje de encuestados (42.08%) recomiendan a la administración del comisionado universitario promoverse a través de las redes sociales de la UNAH, un 18.31% recomienda desarrollar un curso virtual para conocer el comisionado.
CONCLUSIONES Y RECOMENDACIONES
- A raíz de los datos revelados en el instrumento de investigación, se puede concluir que una mayoría del 63% de los estudiantes no conocen sobre el comisionado Universitario y los que lo conocen se han dado cuenta mediante terceras personas y no precisamente por campañas publicitarias o por medios de comunicaciones de la UNAH.
- De la comunidad universitaria los docentes y personal administrativo de la UNAH son los que más conocen sobre el comisionado universitario, siendo estos también los que más conocen sus instalaciones físicas en la universidad.
- Un 40% de la comunidad universitaria expreso que desconocen las funciones del comisionado universitario pero que están anuentes en obtener información y conocerlo.
- Existe una correlación positiva entre la cantidad de años de formar parte de la UNAH del estudiando/trabajadores con su nivel de conocimiento del comisionado universitario
- La gran mayoría de los encuestados conoce al menos una campaña desarrollada por el comisionado universitario, siendo así la más conocida la campaña contra el acoso sexual.
- La comunidad universitaria tiene poco conocimiento acerca de la ubicación del comisionado universitario en CU, siendo los estudiantes son los que menos conocen las instalaciones
- Solo un 22% de la población encuestada han acudido al comisionado universitario solicitando su apoyo, el personal administrativo y de servicios son los que acudieron más.
- Se recomienda incluir dentro del silabo del curso a la introducción de la vida universitaria la explicación de las atribuciones y servicios del comisionado universitario
- Se recomienda crear una plataforma para atender las denuncias/servicios del comisionado universitario de forma virtual para gestionar las solicitudes con mayor rapidez
- Se recomienda al comisionado universitario realizar un plan de marketing anual que incluya diversas campañas publicitarias para promover los diferentes servicios disponibles, haciendo énfasis en la difusión en medios de comunicación digitales institucionales
REFERENCIAS
Calderon, J. A. (11 de agosto de 2021). Comisionado Universitario cumple 15 años a favor de los derechos humanos en la UNAH. Presencia UNAH.
Comisionado Universitario de la UNAH. (2020). Informe anual 2020 Comisionado Universitario.
Tegucigalpa.
Sampieri, H. (2022). Metodología de la investigación (6.ª ed.). McGraw-Hill.
Cómo citar este trabajo (Vancouver):
Gómez Andrade EO, Sánchez Mendoza AE. PERCEPCIÓN Y POSICIONAMIENTO DEL COMISIONADO UNIVERSITARIO EN LA UNIVERSIDAD NACIONAL AUTÓNOMA DE HONDURAS CAMPUS CIUDAD UNIVERSITARIA [resumen]. En: Vispo NS, editor. Memorias del Congreso de Investigación y Posgrado UNAH 2024: Libro de resúmenes. Madrid/Tegucigalpa: Clinical Biotec S.L.; Universidad Nacional Autónoma de Honduras; 2024. doi: 10.70099/cb/unah/2024.mem
ISBN del libro: 978-84-09-76685-7