HIPERENDEMICIDAD DE HELMINTOS TRANSMITIDOS POR EL SUELO EN ESCOLARES DE LA MOSKITIA HONDUREÑA
María Araujo*1, Gabriela Matamoros1
1Instituto de Investigaciones en Microbiología, Universidad Nacional Autónoma de Honduras, Tegucigalpa, Honduras.
Autor correspondiente: maria.araujo@unah.hn
INTRODUCCIÓN
La Moskitia hondureña es una de las regiones más remotas de Centroamérica. Se distingue por su alto índice de pobreza, lo que resulta en un acceso limitado a servicios de agua y saneamiento, favoreciendo la transmisión de helmintos transmitidos por el suelo (HTS). A pesar de las condiciones sanitarias precarias, la información sobre la epidemiología de la transmisión de HTS (incluido Strongyloides stercoralis) en esta región es escasa. El presente estudio tuvo como objetivo realizar una evaluación rápida para determinar la prevalencia HTS en niños en edad escolar de la comunidad de Kaukira, en la Moskitia hondureña. Además, se evaluó el rendimiento de la Reacción en Cadena de la Polimerasa en tiempo real (qPCR) como herramienta diagnóstica.
METODOLOGÍA
Se analizaron un total de 54 muestras mediante el método de concentración formol-acetato de etilo (FAE) y qPCR. Se llevaron a cabo dos protocolos de qPCR multiplex, cada uno incluyendo cebadores y sondas específicos para la detección de cinco HTS. Adicionalmente, se realizaron experimentos de inoculación de muestras con huevos para evaluar el límite de detección (LOD) de la técnica de qPCR para Trichuris trichiura y Ascaris lumbricoides.
RESULTADOS
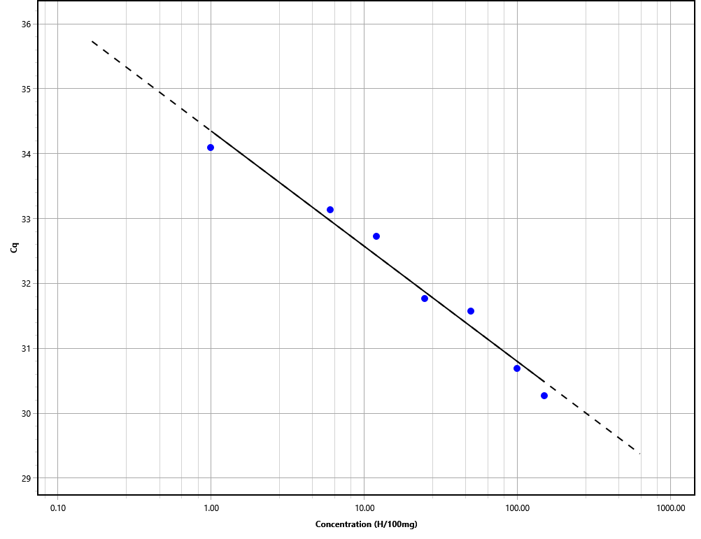
Se determinó una prevalencia de HTS del 98.2% (IC 95%: 94.6- 100%) en la población estudiada; esta es la mayor prevalencia de HTS reportada en el país hasta la fecha. T. trichiura resultó ser el parásito más prevalente, seguido por A. lumbricoides, Necator americanus y S. stercoralis (ver Tabla 1.) En comparación con FAE, qPCR mostró una mayor sensibilidad. El experimento de inoculación de muestras demostró que qPCR puede detectar 1 huevo/100 mg para ambos parásitos (ver Figura 1 y 2.).
Perfil parasitario | qPCR | FAE |
Prevalencia general de HTS (IC 95%) | 98.2% (94.6% -101.7%) | 90.7% (83.0% -98.5%) |
Prevalencia de A. lumbricoides (IC 95%) | 57.4% (44.2% -70.6%) | 55.6% (42.3% -68.8%) |
Prevalencia de T. trichiura (IC 95%) | 92.6% (85.6% -99.6%) | 83.3% (73.4% -93.3%) |
Prevalencia de S. stercoralis (IC 95%) | 7.4% (2.1% -17.9%) | - |
Prevalencia de Ancilostomatídeos (IC 95%) | 37.0% (24.2% -49.9%) | 5.6% (11.6% -15.4%) |
Infecciones mixtas (IC 95%) | 66.7% (52.5% -78.9%) | 50.0% (36.1% -63.9%) |
IC 95%: Intervalo de confianza del 95%. El símbolo (-) indica que no hay datos.
Tabla 1. Comparación de la prevalencia parasitaria entre qPCR y FAE

Figura 1. Ensayo de límite de detección de A. lumbricoides: 1 huevo/100 mg de heces

Figura 2. Ensayo de límite de detección de T. trichiura: 1 huevo/100 mg de heces
CONCLUSIÓN
Los hallazgos de este estudio demuestran que, a pesar de la administración bianual de tratamiento antihelmíntico, la prevalencia de infecciones por HTS en esta región sigue siendo notablemente alta. Estos resultados también subrayan que, para alcanzar los objetivos de control de HTS establecidos para el año 2030 (1), es necesario desarrollar técnicas de diagnóstico más sensibles que permitan una vigilancia eficaz de estas infecciones.
REFERENCIAS
1. Ending the neglect to attain the Sustainable Development Goals: a road map for neglected tropical diseases 2021–2030 - PAHO/WHO | Pan American Health Organization [Internet]. [citado 12 de febrero de 2024]. Disponible en: https://www.paho.org/en/documents/ending-neglect-attain-sustainable-development-goals-road-map-neglected-tropical-diseases
Cómo citar este trabajo (Vancouver):
Araujo M, Matamoros G. HIPERENDEMICIDAD DE HELMINTOS TRANSMITIDOS POR EL SUELO EN ESCOLARES DE LA MOSKITIA HONDUREÑA [resumen]. En: Vispo NS, editor. Memorias del Congreso de Investigación y Posgrado UNAH 2024: Libro de resúmenes. Madrid/Tegucigalpa: Clinical Biotec S.L.; Universidad Nacional Autónoma de Honduras; 2024. doi: 10.70099/cb/unah/2024.mem
ISBN del libro: 978-84-09-76685-7